BS. Chi Mai
Mục tiêu
* Trình bày được định nghĩa, phân loại, danh pháp monosaccharid
* Trình bày được tính chất khử của monosaccharid
* Trình bày được cấu tạo, tính chất khử và nguồn gốc của sucrose, lactose và
maltose
* Trình bày được nguồn gốc, cấu tạo, vai trò của tinh bột, glycogen, cellulose
Glucid (Carbohydrat)
* Là các hợp chất hữu cơ có nhiều nhất trong tự nhiên
* Nguồn cung cấp năng lượng chính trong bữa ăn của chúng ta
* Vai trò cấu trúc và bảo vệ của vách tế bào vi khuẩn và thực
vật, mô liên hợp ở động vật
* Bôi trơn các khớp xương, tham gia vào sự nhận biết và kết
dính các tế bào.
* Kết hợp với lipid và protein tạo các chất liên hợp glucid
* Cấu tạo bởi các nguyên tố C, H và O
* Được tổng hợp từ CO2, H2O
* Saccharid, nghĩa là “đường”
* Nhìn chung, công thức tổng quát là (CH2O)n với n ≥ 3
Phân loại Carbohydrat
* Monosaccharid
+ Không thể bị thủy phân thành các
carbohydrat nhỏ hơn
+ Đường đơn (Simple
carbohydrates)
* Carbohydrat phức tạp
+
Oligosaccharid: 2-14 monosaccharid
+ Polysaccharid:
> 14 monosaccharid: thuần, tạp
1.Monosaccharid
* Khái niệm về
monosaccharid
+ Là các dẫn xuất aldehyd hoặc ceton của
các polyalcol. (Một C là nhóm
carbonyl; các C còn lại gắn với –OH)
+ Không phân nhánh, có từ 3-8 C
+ Chúng không bị thủy
phân thành các phần tử nhỏ hơn
* Aldose
+ Có nhóm aldehyd (carbon 1)
* Cetose
+ Có nhóm ceton (carbon 2)
Cách gọi tên
monosaccharid
* Danh pháp: số
carbon + “ose”.
+ triose = 3 carbon
+ tetrose = 4 carbon
+ pentose = 5
carbon
+ hexose = 6 carbon
* Thêm tiếp đầu ngữ aldo-
hay ceto- biểu thị chức khử aldehyd hay ceton.
+ Aldohexose
+ Cetohexose
* Tên riêng:
+ Glucose (Aldohexose)
+ Fructose
(Cetohexose)
Công thức hình chiếu
Fischer
* Dùng biểu diễn cấu tạo thẳng của carbohydrat
* C oxy hóa cao nhất ở vị trí trên cùng (C1)
* Dùng đường nằm ngang cho các liên kết về phía trước
* Dùng đường thẳng đứng cho các liên kết về phía sau
Đồng phân D và L
* Theo quy ước, L chỉ cấu trúc có nhóm —OH của C* cuối cùng về phía tay trái
* D chỉ cấu trúc có nhóm —OH của C* về phía tay phải
D và L Monosaccharid
* Hóa lập thể được xác định bằng C bất đối ở xa nhóm carbonyl nhất
* Phần lớn monosaccharid tìm thấy trong tự nhiên thuộc dãy D
Các đồng phân epimer
= Các đường chỉ khác nhau 1 trung tâm dị lập thể
D-Glucose
* Là hexose phổ biến nhất,
còn gọi dextrose
* Có trong hoa quả, si
rô và mật ong
* aldohexose có công thức
phân tử C6H12O6
* Là đường có trong máu
* Đơn vị cấu tạo của nhiều
disaccharid và polysaccharid
D-Fructose
* Cetohexose C6H12O6
* Khác glucose ở C1 và C2 (vị trí của nhóm carbonyl)
* Là carbohydrat có vị ngọt nhất (thứ hai là sucrose)
* Tìm thấy trong nước quả và mật ong
* Sinh ra từ thủy phân sucrose
* Chuyển thành glucose trong cơ thể
D-Galactose
* Aldohexose
* Khác D-glucose ở C4
* Không tìm thấy dạng tự do trong tự nhiên
* Sinh ra từ lactose, một disaccharid (trong sữa)
* Vai trò quan trọng trong màng tế bào hệ thần kinh trung
ương
Hemiacetal hay
hemicetal (bán acetal hay bán cetal)
* Phản ứng giữa
nhóm aldehyd hoặc ceton với alcol
tạo bán acetal
* Nếu alcol và carbonyl trong nội phân tử liên kết với nhau => bán acetal nội phân tử.
Cấu tạo vòng của
monosaccarid
* Các monosaccarid có từ 5 C trở nên thường có cấu trúc
vòng, thường tạo vòng 5- hoặc 6-cạnh
* Nhóm Hydroxyl ở C5 phản ứng với aldehyd hoặc ceton
* Công thức Haworth biểu diễn cấu trúc vòng
+ Được biểu diễn từ
công thức hình chiếu Fischer
+ C1 ở phía bên tay
phải
+ Cấu trúc vòng của
đồng phân dãy D có nhóm CH2OH cuối cùng ở phía trên mặt phẳng vòng (C6)
+ Nhóm –OH ở bên
trái trong công thức thẳng (C3) ở
phía trên
+ Nhóm –OH ở bên phải
trong công thức thẳng (C2, C4) ở phía dưới
Pyranose: giống
như nhân Pyran
Đồng phân a và b của
D-Glucose
Cấu trúc vòng của
Fructose
* Là cetohexose, fructose tạo cấu trúc vòng khi nhóm —OH ở C5 phản ứng với nhóm ceton ở
C2
* Tạo vòng 5 cạnh
* furanose: giống
nhân furan
Pyranose và Furanose
Sự chuyển dạng của monosaccharid
* Trong dung dịch, các dạng cấu trúc vòng và thẳng có thể
chuyển đổi qua lại
* Sự chuyển đổi giữa 2 dạng đồng phân alpha và beta gọi
là Mutarotation.
* Chỉ có một lượng rất nhỏ saccharid ở dạng mạch thẳng
Tính ổn định của cấu
trúc vòng
* Vòng Pyranose không phải ở dạng phẳng
* Cấu trúc dạng ghế là ổn định nhất
Tính chất hóa học của monosaccarid
* Oxy hóa nhóm aldehyd của aldose => tạo acid aldonic
* Khử nhóm carbonyl của aldose hoặc cetose => Alditol
* Phản ứng giữa nhóm –OH bán acetal với alcol tạo acetal hoặc cetal => Glycosid
* Sự chuyển
dạng lẫn nhau của monosaccarid: glucose, fructose và mannose có thể chuyển dạng
lẫn nhau trong môi trường kiềm yếu
* Dẫn xuất
este: các este phosphat đóng vai trò quan trọng trong chuyển hóa glucid.
Oxy hóa Monosaccharid
* Aldose → acid aldonic
Đường khử (Reducing
Sugar)
* Tất cả các monosacarid đều có tính khử (bị oxy hóa)
* Thử nghiệm Benedict
+ Nhóm Carbonyl bị
oxy hóa thành acid carboxylic
+ Cu++ bị khử
Khử các monosaccharid
* Sự khử nhóm carbonyl
sinh ra các polyalcol, hay các alditol
* D-Glucose bị khử thành
D-glucitol (còn gọi là sorbitol)
Các Glycosid và liên
kết glycosid
* Khi một monosaccharid dạng vòng phản ứng với một alcol:
+ Tạo ra một
glycosid (acetal)
+ Liên kết được tạo
thành là liên kết glycosid (a hoặc b)
Disaccharid
* Là oligosaccharid
* Bao gồm 2 monosaccharid
Maltose + H2O <== H+ ==> Glucose + Glucose
Lactose + H2O <== H+ ==> Glucose
+ Galactose
Sucrose + H2O <== H+ ==> Glucose
+ Fructose
Maltose
* Đường kẹo mạch nha
* Hai phân tử Dglucose liên kết với nhau bởi liên kết a-1,4-glycosid
* Sinh ra từ thủy phân
tinh bột
* Có tính khử
Tên gọi của
Disaccharid
* Gọi tên đường thứ nhất (thêm furano hoặc pyrano)
* Liên kết glycosid ở trong ngoặc đơn(# → #)
* Gọi tên đường thứ hai
* Lactose
+ Đường sữa
+ Galactose và
glucose
+ Liên kết
b-1,4-glycosid
+ Có tính khử
* Sucrose
+ Đường ăn
+ Glucose và
fructose
+ Liên kết a,b-1,2- glycosid
+ Không có tính khử
Độ ngọt của các
chất có vị ngọt
* Đường và các chất ngọt nhân tạo khác nhau về độ ngọt
* Mỗi chất ngọt được so với sucrose, được quy ước giá trị là 100
* Aspartame
+ L aspartyl
phenylananyl metyl este.
+ Nguy hiểm với bệnh
nhân phenylketonuric
Polysaccharid
* Còn gọi là glycan
* Là carbohydrat phức tạp
* Các monosaccharid liên kết với nhau bởi liên kết glycosid
* Có thể mạch thẳng hoặc phân nhánh
* Polysaccharid thuần: do 1 loại monosaccharid tạo nên
* Polysaccharid tạp: > 1 loại monosaccharid, các chuỗi lặp lại
* Cấu trúc được xác định bằng phương pháp thủy phân (glycosidase) và NMR
Polysaccharid
1. Thuần
* Cấu trúc:
cellulose, chitin
* Dự trữ: tinh
bột (Amylose và Amylopectin),
glycogen
2. Tạp: Glycosaminoglycan
Cellulose
* Thành tế bào thực vật
* Polyme mạch thẳng
* Có thể tới 15000 gốc Glc
* Liên kết b-1→4 glycosid
* Dạng sợi rất chắc
* Không tan trong nước
* Bị thủy phân bởi cellulase (chậm)
(!) Có
ở động vật ăn cỏ, mối, nấm gỗ
Cấu trúc của
Cellulose
* Các chuỗi thẳng song
song
* Các liên kết H giữa các chuỗi
Chitin
* Tương tự cellulose, trừ –OH ở C2 được thay bởi acetamid
+ Dẫn xuất osamin
+ Polyme của
N-acetyl-D-glucosamin
* Rất cứng
* Cấu tạo bộ xương của động vật chân đốt
Tinh bột
* Thành phần chính trong bữa ăn của người
* Nguồn cung cấp năng lượng chính trong nhiều loại thực phẩm
* Cấu tạo gồm amylose (15-25%) và amylopectin (75- 85%)
* Amylose
+ Đơn vị cấu tạo là glucose
+ Mạch thẳng do
liên kết a-1,4 glycosid
+ Tạo xoắn trái
* Amylopectin
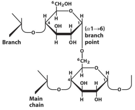
+ Phân nhánh (~ 24- 30 gốc có một nhánh)
+ Liên kết a-1,4- tạo
mạch thẳng và liên kết a-1,6-glycosid ở chỗ phân nhánh
Glycogen
* Là dạng tinh bột động vật
* Cấu trúc tương tự amylopectin, nhưng phân nhánh nhiều hơn, nhánh ngắn hơn
Thủy phân
polysaccharid
* Enzyme trong nước bọt và dạ dày (amylase, một glycosidase) có thể thủy phân liên kết a-1,4 glycosid trong tinh bột, nhưng không thủy phân được liên kết b-1,4 glycosid của cellulose
Glycosaminoglycan (polysacharid
tạp)
* Tạo matrix giống như gel bao quanh collagen ở sụn, gân, xương
* Polysaccharid không phân nhánh
* Độ đàn hồi và độ quánh cao
* Xen kẽ acid uronic và hexosamine
* Thường chứa các nhóm sulfat
Summary of
Polysaccharides
* Các chất liên hợp
glucid (Glycoconjugates)
+ Glycolipid
+ Glycoprotein: proteoglycan, peptidoglycan
* Xác định cấu trúc của carbohydrat
* Liên kết đồng hóa trị giữa carbohydrat và các sinh phân tử
* Chức năng của các oilgosaccharid:
+ Cấu trúc: ưa nước (protein surface), cấu hình hạn chế
+ Tính phản ứng: kết gắn bề mặt và ảnh hưởng
đến tính phản ứng
+ Nhận biết bề mặt: Đánh dấu các protein, Giao tiếp giữa các tế bào
Glycolipid
* Lipid cấu trúc màng
* Đầu ưa nước là các oligosaccharid
* Các vị trí nhận biết
Glycoprotein
* Protein liên kết với carbohydrat
* Microheterogeneity: thành phần thay đổi, phần glucid có thể chiếm 1-70% hoặc hơn
* Nhiều chức năng khác nhau: cấu trúc, vận chuyển, enzym,
receptor...
* Chuỗi carbohydrat:
+ Thường ngắn (oligosaccharid)
+ Có thể phân nhánh
+ Được tổng hợp bằng
các phản ứng enzym
+ Liên kết đồng hóa
trị với polypeptid
Proteoglycans
* Sự kết hợp của protein với glycosaminoglycan ở ngoài tế
bào
* Lõi là protein
* Oligosaccharid tạo liên kết glycosid với O của Ser hay
Thr
Proteoglycan
Aggregates
* Bộ khung
+ 4000-40000 Å
+ Đơn phân tử
hyalurnoat
* Các Protein
+ Có thể tới 100
+ Many types
* Oligosaccharides
+ N-linked
+ O-linked
+ Sulfonated
* Highly hydrated
+ Anionic
+ Extended
structure
* High resilience
N- and O-linkages
Peptidoglycan
* Vách tế bào vi khuẩn
* Liên kết đồng hóa trị
giữa polysaccharid và các
chuỗi polypeptid
* D-acid amin chống lại
tác dụng thủy phân của peptidase
* Lysozyme có thể thoái
hóa vách tế bào
* Penicillin có thể ức chế tổng hợp












































