ThS. Lan
mục tiêu
1. Trình bày được định nghĩa và đặc điểm các thành phần cấu tạo chính của lipid
2. Trình bày được phân loại lipid theo cấu tạo hóa học và công thức cấu tạo của mỗi loại
ĐẠI CƯƠNG
• Thành phần cơ bản của sinh vật
• Lipid = acid béo + alcol
• Quan điểm
hiện nay bao gồm: chất ít tan trong nước, dễ tan trong dung môi không phân cực
• 2 loại: lipid thuần và tạp
• Chức năng: cung cấp năng lượng (mỡ, dầu…), cấu trúc màng (phospholipid, sterol), vài trò sinh học (hormon, acid mật…)
• Gồm các loại: dầu, mỡ, sáp
Cấu tạo của lipid
1. Acid béo
- Chuỗi hydrocarbon có: 4-36C
- Chuỗi hydrocarbon: bão hòa và không có nhánh; không bão hòa; có nhánh; vòng; chứa
nhóm chức –OH
- Tên acid béo = tên chuỗi hydrocarbon + đuôi oic
Acid octanoic (acid caprylic):
Acid octadecenoic (acid oleic):
1.1. Acid béo bão hòa
| 
   
Tên
  acid 
 | 
  
   
Công
  thức 
 | 
  
   
Tên
  hệ thống 
 | 
  
   
Độ
  nóng chảy 
 | 
  
   
Tự
  nhiên 
 | 
 
| 
   
Lauric 
 | 
  
   
CH3(CH2)10COOH 
 | 
  
   
Acid
  n-dodecanoic 
 | 
  
   
+ 44,2 
 | 
  
   
Dầu
  dừa 
 | 
 
| 
   
Myristic 
 | 
  
   
CH3(CH2)12COOH 
 | 
  
   
Acid
  n-tetradecanoic 
 | 
  
   
+ 53,9 
 | 
 |
| 
   
Palmitic 
 | 
  
   
CH3(CH2)14COOH 
 | 
  
   
Acid
  n-hexadecanoic 
 | 
  
   
+ 63,1 
 | 
  
   
Mỡ
  động vật và dầu thực vật 
 | 
 
| 
   
Stearic 
 | 
  
   
CH3(CH2)16COOH 
 | 
  
   
Acid
  n-octadecanoic 
 | 
  
   
+ 69,6 
 | 
 |
| 
   
Arachidic 
 | 
  
   
CH3(CH2)18COOH 
 | 
  
   
Acid
  n-eicosanoic 
 | 
  
   
+ 76,5 
 | 
  
   
Dầu
  lạc, sáp động vật và thực vật 
 | 
 
| 
   
Lignoceric 
 | 
  
   
CH3(CH2)22COOH 
 | 
  
   
Acid
  tetracosanoic 
 | 
  
   
+ 86,0 
 | 
 
1.2. Acid béo không
bão hòa
| 
   
Tên
  acid 
 | 
  
   
Khung
  carbon 
 | 
  
   
Công
  thức cấu tạo 
 | 
  
   
T
  nóng chảy 
 | 
 
| 
   
Acid
  palmitoleic 
 | 
  
   
16:1
  (∆9) 
 | 
  
   
CH3(CH2)5CH=CH(CH2)7COOH 
 | 
  
   
-0,5 
 | 
 
| 
   
Acid
  oleic 
 | 
  
   
18:1
  (∆9) 
 | 
  
   
CH3(CH2)7CH=CH(CH2)7COOH 
 | 
  
   
13,4 
 | 
 
| 
   
Acid
  linoleic 
 | 
  
   
18:2
  (∆9,12) 
 | 
  
   
CH3(CH2)4CH=CHCH2CH=CH(CH2)7COOH 
 | 
  
   
-5 
 | 
 
| 
   
Acid
  linolenic 
 | 
  
   
18:3
  (∆9,12,15) 
 | 
  
   
CH3CH2CH=CHCH2CH=CHCH2CH=CH(CH2)7COOH 
 | 
  
   
-11 
 | 
 
| 
   
Acid
  arachidonic 
 | 
  
   
20:4
  (∆5,8,11,14) 
 | 
  
   
CH3(CH2)4CH=CHCH2CH=CHCH2CH=CHCH2CH=CH(CH2)3COOH 
 | 
  
   
-49,5 
 | 
 
acid linoleic,
linolenic, arachidonic là các acid béo cần thiết, có nguồn gốc: dầu bắp, dầu đậu nành, dầu mè…
=> Vitamin
F (fat)
- Chuỗi thẳng hoặc nhánh
- Tồn tại trong tự nhiên: cis
- Loại có một liên kết đôi (acid oleic)
- Loại có hai liên kết đôi (acid linoleic)
- Loại có ba liên kết đôi (acid linolenic)
- Loại có bốn liên kết đôi (acid arachidonic)
1.3. Acid béo mang chức
alcol
- Acid cerebronic có trong lipid tạp của não
1.4. Acid béo có vòng
2. Alcol của lipid
2.1. Glycerol
Là trialcol, tham gia vào glycerid và
phosphatid:
2.2. Alcol bậc cao
• Tham gia vào sáp
• Alcol cetylic…
2.3. Aminoalcol
• Tham gia vào cerebrosid và phosphatid
•  Ví dụ: sphingosin, cholin
2.4. Sterol
- Tiêu biểu là cholesterol (có trong mô thần kinh, mật, thể vàng buồng trứng)
- Ngoài ra: ergosterol, coprosterol
Phân loại lipid
1. Lipid thuần
- Ester của acid béo với các alcol
- Gồm: glycerid, cerid và sterid
1.1. Glycerid
(acylglycerol)
- Ester của glycerol và acid béo
- Mono-, di-, tri-glycerid (phần lớn)
- Có thể thuần nhất hoặc hỗn hợp (phần lớn)
(+)Chất béo trong thiên nhiên: hỗn hợp glycerid
(+)Mỡ: glycerid của động vật chứa nhiều acid béo bão hòa
(+)Dầu thực
vật: glycerid chứa nhiều acid
béo không bão hòa
(+)Vai trò: dự trữ năng lượng, cách nhiệt, bảo vệ cơ quan
1.2. Cerid
- Ester acid béo chuỗi dài + alcol trọng lượng phân tử cao (30-40C)
- Sáp (sáp ong, mỡ cá nhà táng…), vỏ Vi khuẩn Koch (trực khuẩn lao)
- động vật:
dự trữ năng lượng
- thực vật:
chống thấm sinh học
- Không chuyển hóa được
- Dược: lanolin (sáp lông cừu)
C30H61COOC15H31 (sáp ong)
1.3. Sterid
- Ester acid béo + alcol có vòng sterol (cholesterol)
2. Lipid tạp
- Thành phần:
acid béo, alcol, thành phần khác
- Gồm: glycerophospholipid (alcol: glycerol) và sphingolipid (alcol: sphingosin)
2.1. Glycerophospholipid
(glycerophosphatid hay diacyl phosphatid)
* Acid phosphatidic: trung
gian tổng hợp Glycerophospholipid
*Phosphatidylcholin
(lecithin)
- X là cholin
- Dẫn xuất từ lòng đỏ trứng
- Phổ biến trong tế bào động vật: gan, não…
*Phosphatidylethanolamin
(cephalin)
- X là ethanolamin
- Chiết xuất từ não
*Phosphatidylserin
- X là acid amin serin
- Chiết xuất từ não
*Phosphatidylglycerol
- X là glycerol
- Đặc trưng màng trong ty thể
*Plasmalogen
- 10% phospholipid của não
2.2. Sphingolipid
- Thành phần
quan trọng của màng tế bào động vật (mô thần kinh)
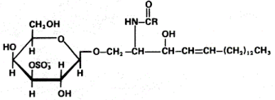
- Alcol: sphingosin + acid béo (nignoceric hoặc cerebronic acid) => ceramid
*Cerebrosid
• Gồm: sphingosin, acid béo cao phân tử (24C), galactose
• Não, tế
bào thần kinh
*Sulfatid
• Dẫn xuất của cerebrosid, có –SO4 gắn ở C3 của galactose
• Có nhiều ở thực vật
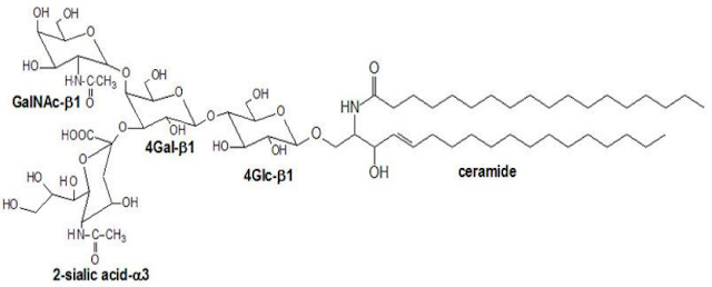
*Gangliosid: đầu
dây thần kinh =>
dẫn truyền thần kinh
• Glycosylceramid: sphingosin, acid béo (22, 24C), 3-ose (galactose, glucose,
galactosamin)
The end!



























