PCR (Polymerase Chain
Reaction) và ứng dụng trong Y học
Sinh học phân tử xuất
hiện như thế nào?
• Kính hiển vi được làm ra năm 1665
• Robert Hooke (1635-1703) khám phá ra các cơ quan được cấu thành từ các tế bào.
• Matthias Schleiden (1804-1881)
and Theodor Schwann (1810-1882) mở
rộng nghiên cứu tế bào vào những năm 1830
Những sự kiện chính
trong lịch sử sinh học phân tử 1800 - 1870:
• 1865 Gregor Mendel Khám
phá ra quy luật cơ bản của di truyền
ở đậu – Một cá thể có 2 đặc tính di truyền
là trội và lặn
• 1869 Johann Friedrich
Miescher phát hiện ra DNA và
đặt tên nó là nuclein.
Những sự kiện chính trong lịch sử sinh học phân
tử 1880 - 1900:
• 1881 Edward Zacharias chỉ ra rằng các chromosom được cấu thành bởi nuclein.
• 1899 Richard Altmann đặt tên lại cho nuclein là acid nucleic.
• By 1900, Xác định cấu trúc hóa học của 20 loại acid amin
Những sự kiện chính
trong lịch sử sinh học phân tử 1900-1911:
• 1902 - Emil Hermann Fischer đoạt giải thưởng Nobel: các acid amin được nối với nhau để hình thành protein
• 1911 – Thomas Hunt Morgan khám phá ra gen trong nhiễm sắc thể là các đơn vị di truyền
• 1911 Pheobus Aaron Theodore tìm ra RNA
Những sự kiện chính
trong lịch sử sinh học phân tử 1940 - 1950:
• 1941 – George Beadle and Edward Tatum xác định rằng
các gen là nguồn tổng hợp ra các
protein
• 1950 – Edwin Chargaff
tìm thấy Cytosin liên kết bổ
sung Guanin và Adenin với Thymin
Những sự kiện chính
trong lịch sử sinh học phân tử 1950 - 1960:
• 1950s –
Mahlon Bush Hoagland lần đầu tiên chiết tách được tRNA
• 1952-1953 James D.
Watson and Francis H. C. Crick suy luận mô hình cấu trúc xoắn kép của
DNA
Những sự kiện chính
trong lịch sử sinh học phân tử  1970:
• 1970 Howard Temin and
David Baltimore cùng độc lập tìm
ra enzym cắt giới hạn
– DNA có thể bị cắt nhỏ ở những vị trí đặc hiệu gọi là ennzym giới hạn
– Các mẫu DNA bị cắt nhỏ có thể gắn vào các vector của vi khuẩn và đưa vào vật chủ vi khuẩn
(Công nghệ tạo dòng gen hoặc DNA
tái tổ hợp)
Những sự kiện chính
trong lịch sử sinh học phân tử 1970- 1977:
• 1977 Phillip Sharp and
Richard Roberts phát hiện ra tiền
mRNA được xử lý bằng cách loại bỏ
intron và nối các exon lại với
nhau.
Những sự kiện chính
trong lịch sử sinh học phân tử 1986 - 1995
• 1986 Leroy Hood: Phát
triển máy giải trình tự nucleotid
(gen) tự động
• 1986 Sáng kiến bộ gen
người được thông báo
• 1990 Dự án về bộ gen
người 15 năm chính thức khởi
động
Những sự kiện chính
trong lịch sử sinh học phân tử 1995-1996:
• 1995 John Craig Venter: Lần đầu tiên một bộ gen vi khuẩn đã được giải trình tự
• 1995 Máy giải trình tự gen tự động
• 1996 Lần đầu tiên bộ gen nấm men được giải trình tự
Những sự kiện chính trong lịch sử sinh học phân
tử 1997 - 1999:
• 1997 E. Coli sequenced
• 1998 PerkinsElmer, Inc.. Developed 96-capillary sequencer
• 1999 First human chromosome (number 22) sequenced
Những sự kiện chính
trong lịch sử sinh học phân tử 2000-2001:
• 2000 Hoàn thành giải
trình tự bộ gen của ruồi dấm
• 2001 Trình tự bộ gen
người: Bản thảo đầu tiên được
công bố
Những sự kiện chính
trong lịch sử sinh học phân tử 2003- đến nay:
• April 2003 Dự án giải
trình tự bộ gen người
đã hoàn thành. Bộ gen chuột (mouse) lúc này đang giải mã.
• April 2004: bộ gen chuột
(Rat) đã được giải mã.
* Mọi sự sống phụ thuộc vào 3
phân tử then chốt:
• Các DNA
– Lưu giữ thông tin về các tế bào làm việc như thế nào
• Các RNA
– Có vai trò vận chuyển các mẩu thông tin đến các phần khác nhau của tế bào
– Làm khuôn mẫu để tổng hợp protein
• Các Protein
– Hình thành các enzym để chuyển tin đến các tế bào khác và điều hòa hoạt tính gen
– Tạo nên các bộ phận cho cơ thể(ví dụ, da, tóc,…)
* DNA, RNA, Protein và dòng thông tin:
Dòng thông tin di truyền:
CHUYỂN HÓA NUCLEID
1. CHUYỂN HÓA
NUCLEOTID
1.1. Thoái hóa
Acid nucleic trong thức ăn không bị phá hủy bởi môi trường
acid ở dạ dày và chỉ bị thoái hóa
chủ yếu ở tá tràng bởi các nuclease của tụy và các phosphodiesterase của ruột non.
Các sản phẩm này không qua được màng tế bào mà tiếp tục bị
thủy phân tạo thành các nucleosid
với sự xúc tác của các enzyme nucleotidase đặc hiệu nhóm và các phosphatase.
Các nucleosid có thể được hấp thu tự do qua thành ruột hoặc
tiếp tục thoái hóa để tạo các base
tự do, ribose hoặc ribose-1-phosphat nhờ các enzym nucleosidase và nucleoside phosphorylase:
* Nucleosid
+ H2O === nucleosidase ===> base + ribose
* Nucleosid
+ H2O === nucleoside
phosphorylase ===> base
+ ribose-1- P
Cấu trúc các bazơ:
• Nhân purin
– Adenin (A)
– Guanin (G)
• Nhân pyrimidin
– Thymin (T)
– Xytosin (C)
Một nucleotit: Bazơ,
đường deoxyribose và một gốc phosphat:
Cấu tạo chi tiết của
các loại nucleotit:
THOÁI HÓA CỦA PURIN
NUCLEOTID
THOÁI HÓA CỦA
PYRIMIDIN NUCLEOTID
1.2 Tổng hợp
TỔNG HỢP PURIN
NUCLEOTID
GĐ1: Tạo GAR
Phosphoryl
hóa Ptử R-5-P với sự tham gia của ATP
Gắn amin của
glutamin
Kết hợp với
Glycin… phản ứng này cần 1 phân tử ATP
(THF) Tetrahydrofolat
(GAR) Glycinamid
GĐ2: tạo nhân
Imidasol của purin
GAR được phomyl hóa bởi N10-folmy-THF dưới tác dụng của GAR
transformylase
Chất này được amin hóa dưới tác dụng của enzym… chuyển nhóm
amin của glutamin, năng lượng cung cấp từ ATP
FGAM loại bỏ 1 phân tử nước để tạo thành vòng 5 cạnh
GĐ3: tạo nhân
pyrimidin của purin
AIR được carboxyl hóa
Chất này kết hợp với Aspartat
Furamat tách khỏi SAICAR
Phản ứng Formyl hóa AICAR dưới sự tham gia của chất chuyển amin và enzym
Chất này khử nước, đóng vòng tạo thành IMP
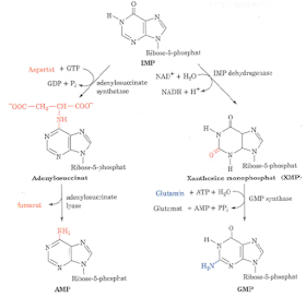
GĐ4 chuyển IMP thành
AMP và GMP
AMP: IMP ngưng tụ với asparat
Adenylsuccinat tách fumarat
GMP:IMP bị oxy
hóa ở vị trí cacbon thứ 2
Nhóm amin của phân tử glutamin gắn vào vị trí thứ 2 của phân tử purin
TỔNG HỢP PYRIMIDIN
NUCLEOTID
GĐ1: tạo orotat
GĐ2: tạo
pyrimidine nucleotid
Orotat + PRPP
Sau đó bị khử nhóm carboxyl thành UMP




















